
در این مطلب از سایت وطن فایل دانلود مقاله بیوسنتز کلسترول را به صورت فایل ورد و قایل ویرایش برای شما کاربران گرامی گردآوری کرده ایم که دارای 27 صفحه می باشد که بعد از پرداخت و خرید لینک دانلود مقاله بیوسنتز کلسترول برای شما نمایش داده خواهد شد و همچنین لینک دانلود مقاله مورد نظر برای شما ایمیل خواهد شد.
كلسترول در سه مرحله از استيل كوآنزيم A سنتز مي شود.
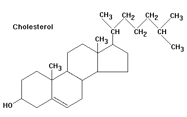
اين استروئيد سياليت غشاء سلولي جانوران را تعديل مي كند. و پيش ساز هورمونهاي استروئيدي مانند پروژسترون، تستوسترون. استراديول وكورتيزول مي باشد. تمامي 27 اتم كربن كلسترول در طي يك فرايند سنتزي سه مرحله اي از استيل COA مشتق مي شوند.
1- مرحله اول سنتز ايزوپنتيل پيروفسفات مي باشد . اين ماده يك واحد فعال شده ايزوپرن است كه واحد ساختاري كليد ي كلسترول به شمار مي آيد.
2- مرحله دوم متراكم شدن شش مولكول ايزوپنتيل پيرو فسفات اسكوالن مي باشد.
3- در مرحله سوم، اسكوالن در اثر واكنشي شگفت آور به صورت حلقه اي در مي آيد ودر ادامه محصول چهارحلقه اي به كلسترول تبديل مي شود.
سنتز موالونات، كه به صورت ايزوپنتينيل پيرو فسفات فعال مي شود ، سنتز كلسترول را شروع مي كند.
اولين مرحله سنتز كلسترول تشكيل ايزوپنتيل پيرو فسفات از استيل COA مي باشد اين دسته واكنش ها كه در سيتوزول اتفاق مي افتد با تشكيل 3- هيدروكسي 3- متيل گلوتاريل COA (HMG COA) از استيل COA و استواستيل COA كوآ آغاز مي شود. اين حد وسط جهت سنتز كلسترول به موالونات احيا مي شود
سرنوشت 3- هيدروكسي- 3- متيل گلوتاريل CoA كوآ. در سيتوزول HMG-CoA به موالونات تبديل مي گردد. در ميتوكندري به استيل CoA و استواستات تبديل مي شود.
سنتز موالونات مرحله محدود كننده در تشكيل كلسترول است . آنزيمي كه اين مرحله برگشت نا پذير را كاتاليز مي كند،3- هيدروكسي3- متيل گلوتاريل كوآردو كتاز(COA-HMG ردوكتاز) نام دارد. همانطور كه مورد بحث قرار خواهد گرفت اين آنزيم يك جايگاه كنترلي مهم در بيوسنتز كلسترول است.
3-Hydroxy–3-methyl glutaryl COA+2NADPH+2H+ mevalonate+2NADP++COA
HGA- CoA ردوكتاز يك پروتئين سرتاسري در شبكه آندوپلاسمي است.
موالونات در سه واكنش متوالي كه نياز به ATP دارد به 3- ايزو پنتينيل پيروفسفات تبديل مي شود. دكربوكسيله شدن موالونات، ايزو پنتينيل پيرو فسفات را توليد مي كند. اين مولكول يك واحد فعال شده ايزوپرني است كه واحد ساختاري بسياري از زيست مولكولهاي مهم در تما م فرمانروهاي حيات مي باشد…
فهرست مطالب
معادله كلي مسير بيوسنتز كلسترول
بيوسنتز كلسترول
بيوسنتز كلسترول- مرحله اول
بيوسنتز كلسترول- مرحله دوم
بيوسنتز كلسترول- مرحله سوم
تنظيم بيوسنتز كلسترول
SREBPS چيست؟
ناهنجاريهاي مربوط به نقص در بيوسنتز كلسترول
– سندروم SLOS
– لاتواسترولوزيز
منابع
مقاله بیوسنتز کلسترول به صورت فایل دنلودی می باشد شما بعد از پرداخت مبلغ مورد نظر می توانید در همان لحظه فایل را دریافت نمایید. در صورتی که به هر دلیلی موفق به پرداخت و یا دانلود نشدید از قسمت تماس با ما سایت، به ما اطلاع دهید تا در کمترین زمان ممکن به مشکلات شما رسیدگی کنیم.